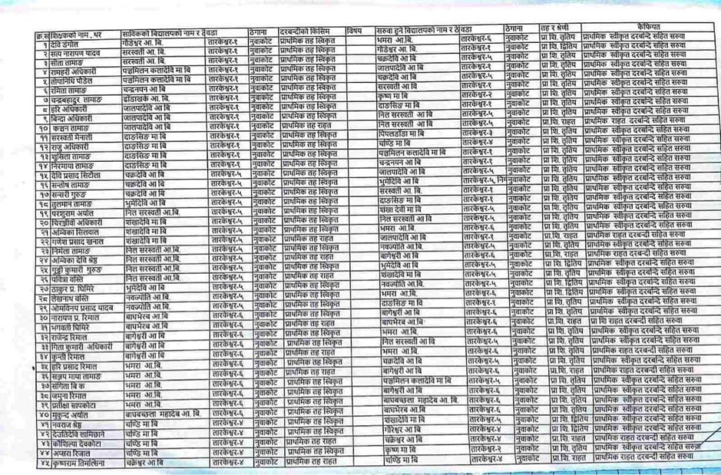
नुवाकोट – तारकेश्वर गाउँपालिकाले काज सरुवा भएका शिक्षकहरूलाई रमाना दिन र हाजिरी गराउन अटेरी गर्ने विद्यालयका प्रधानाध्यापकहरूसँग स्पष्टीकरण मागेको छ । गत साता गाउँपालिकाले ८६ जना शिक्षकको काज सरुवा गरेकोमा केही विद्यालयले सरुवा कार्यान्वयन गर्न अटेरी गरेकाले सात दिनभित्र चित्त बुझ्दो कारण सहित स्वयं उपस्थित भई स्पष्टीकरण पेस गर्न प्रधानाध्यापकहरूलाई पत्र काटिएको गाउँपालिका अध्यक्ष शिव अधिकारीले जानकारी दिए । अध्यक्ष अधिकारीका अनुसार, अटेरी गर्ने शिक्षकहरूलाई पनि स्पष्टीकरण सोधी कारबाहीको प्रक्रिया अघि बढाउने तयारी भइरहेको छ ।
शिक्षकहरूलाई चलायमान बनाउन आफ्नो क्षेत्राधिकारभित्रका सबै शिक्षकको सरुवा गर्ने भन्दै गाउँपालिकाले पहिलो चरणमा एक तिहाइ शिक्षकको काज सरुवा गरेपछि सरुवाप्रति असन्तुष्टि जनाउँदै शिक्षक सङ्गठनहरूले निर्णय कार्यान्वयन नगर्न दबाब दिइरहेका छन् । शिक्षक सरुवाको विषयमा शिक्षक संगठनहररूबाट भइरहेको विरोधका सम्बन्धमा केही दिनअघि हामीले अध्यक्ष अधिकारीसँग कुरा गरेका थियौं । अध्यक्ष अधिकारीले गाउँपलिकाले गरेको शिक्षक काज सरुवाको निर्णय कार्यान्वयन गर्नेमा आफू दृढ रहेको बताएका थिए । विशुद्ध शैक्षिक सुधारको उद्देश्यले गरिएको सरुवालाई लिएर अनावश्यक र भ्रामक प्रचारबाजी गरिएको भन्दै अध्यक्ष अधिकारीले शैक्षिक क्षेत्रमा राजनीतिक पूर्वाग्रह नराख्न सम्बद्ध सबैलाई आग्रह गरेका थिए ।
हामीसँग टेलिफोन संवाद गर्दै अध्यक्ष अधिकारीले शैक्षिक सुधारको कार्यक्रम अन्तर्गत विभिन्न चरणमा विद्यालयहरूको अनुगमन गरी अभिभावकहरूको समेत सल्लाहका आधारमा यो निर्णय गरिएको बताए । झट्ट हेर्दा केही कठोर वा अप्रिय लागे पनि गाउँको शिक्षाको दयनीय अवस्थामा सुधार ल्याउन यो निर्णय आवश्यक भएको उनले बताए । पहिलो चरणमा परीक्षणका रूपमा एक तिहाइ शिक्षकको सरुवा गरिएको भन्दै उनले यसले दिने नतिजाको अध्ययन गरी अर्को चरणको सरुवा कार्यक्रम अघि बढाउने बताए ।
अध्यक्ष अधिकारीले निर्वाचित भएदेखि नै स्वास्थ्य र शिक्षाको गुणस्तर सुधारका लागि भन्दै विभिन्न कार्यक्रमहरू ल्याइरहेका छन् । ती कार्यक्रमहरूमा स्थानीय राजनीतिक दलहरूसँग समन्वय नगरिएको भन्दै केही राजनीतिक दल तिनका भ्रातृसंगठनहरूबाट बेला बेला असन्तुष्टिका स्वरहरू सुनिँदै आएका छन् । यस विषयमा हामीले गरेको प्रश्नमा अध्यक्ष अधिकारीले शिक्षा र स्वास्थ्यको सवालमा राजनीतिभन्दा माथि उठेर काम गर्नुपर्ने बताए । ‘राजनीतिकै लागि राजनीति गर्ने होइन,’ अध्यक्ष अधिकारीले भने, ‘जनहितका विषयमा राजनीतिक आग्रह पूर्वाग्रहबाट माथि उठेर सहकार्य गर्नुहुन सम्बन्धित सबै पक्षलाई अनुरोध गर्छु ।’
‘शिक्षकको काम राजनीति गर्ने होइन, सरकारले खटाएको ठाउँमा गएर पढाउने हो । हामीले सरुवाको निर्णय गर्दा शिक्षकको विषय क्षेत्र, उच्च शैक्षिक योग्यता, सीप र क्षमतालाई ध्यानमा राखेर अधिकतम कार्यक्षमताको उपयोग हुने हिसाबले गरेका छौं । यो हचुवाको निर्णय होइन, लामो अध्ययन र तयारीपछिको निर्णय हो,’ उनले थपे ।


सामाजिक सञ्जालमा विधि र प्रक्रियाका विषयमा उठाइएको प्रश्नका विषयमा उनले भने, ‘यो सञ्जालले फैसला गर्ने विषय होइन । स्थानीय शिक्षा ऐन र कार्यविधिलाई टेकेरै निर्णय गरिएको हो । ऐन नियम मिले नमिलेको हेर्ने विभिन्न निकाय छन् । सञ्जालमा अनावश्यक हल्लाबाजी भइरहेको छ ।’
‘सरकारले तोकेको ठाउँमा जान्न, वर्षौंदेखि बासीआएकै ठाउँमा बसेर रजाइँ गर्छु’ भन्ने छुट कसैलाई नहुने भन्दै अध्यक्ष अधिकारीले स्थानीय सरकारले तोकेको ठाउँमा तत्काल हाजिर गराई काममा लगाउन व्यवस्थापन समिति र प्रधानाध्यापकहरूलाई आग्रह गरे । अर्काको उक्साहटमा आएर पूर्वाग्रहको दुष्चक्रमा नफस्न र आफ्नो पेसागत दायित्वलाई भुलेर सुनौलो भविष्य बोकेका बालबालिकाको भविष्यमाथि खेलबाड नगर्न शिक्षकहरूलाई चेतावनी दिँदै अध्यक्ष अधिकारीले तत्कालै आ-आफ्नो विद्यालयमा हाजिर भई इमानदारीपूर्वक पठनपाठनमा लाग्न निर्देशन दिए ।
प्रतिक्रिया